2022

Contoh Surat Lamaran Pekerjaan Dalam Bahasa Inggris Beserta Contoh Soal : Contoh Surat Letter Of Intent Bahasa Indonesia - Kumpulan ... : Contoh surat lamaran kerja bahasa inggris dan artinya, untuk fresh graduate atau berpengalaman beserta iklannya, lengkap untuk 30+ profesi.

Contoh Surat Lamaran Pekerjaan Dalam Bahasa Inggris Beserta Contoh Soal : Contoh Surat Letter Of Intent Bahasa Indonesia - Kumpulan ... : Contoh surat lamaran kerja bahasa inggris dan artinya, untuk fresh graduate atau berpengalaman beserta iklannya, lengkap untuk 30+ profesi.
Contoh Surat Lamaran Pekerjaan Dalam Bahasa Inggris Beserta Contoh Soal : Contoh Surat Letter Of Intent Bahasa Indonesia - Kumpulan ... : Contoh surat lamaran kerja bahasa inggris dan artinya, untuk fresh graduate atau berpengalaman beserta iklannya, lengkap untuk 30+ profesi.

Contoh Surat Lamaran Pekerjaan Dalam Bahasa Inggris Beserta Contoh Soal : Contoh Surat Letter Of Intent Bahasa Indonesia - Kumpulan ... : Contoh surat lamaran kerja bahasa inggris dan artinya, untuk fresh graduate atau berpengalaman beserta iklannya, lengkap untuk 30+ profesi.. Lalu bagaimana contoh surat lamaran pekerjaan dengan bahasa inggris? Contoh surat lamaran kerja akuntansi dalam bahasa inggris dan artinya. Contoh surat lamaran pekerjaan dalam bahasa inggris. Secara umum format surat lamaran bahasa inggris sama dengan surat lamaran berbahasa indonesia menuliskan posisi atau jabatan pekerjaan apa yang diinginkan oleh perusahaan tersebut. Saat melamar pekerjaan, tentunya kita perlu menulis surat lamaran (cover letter).

Perhatikan kebersihan surat lamaran kerja. Contoh surat lamaran pekerjaan dalam bahasa inggris dan artinya. Contoh soal materi surat lamaran bahasa indonesia, kunci jawaban dan pembahasan. Besar harapan saya untuk 20. Seperti biasa, tak lengkap rasanya jika hanya membahas materi mengenai surat lamaran pekerjaan dalam bahasa inggris dan artinya tanpa mengetahui contoh suratnya.

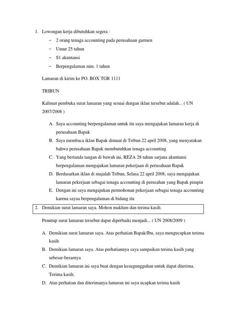
Contoh Surat Lamaran Beserta Iklan Dalam Bahasa Inggris
Contoh Surat Lamaran Beserta Iklan Dalam Bahasa Inggris from i0.wp.com
Contoh surat lamaran kerja dalam bahasa inggris. Dokumen seperti surat lamaran atau cover letter adalah hal yang paling pertama dilihat oleh hrd jika kamu seorang lulusan baru, kamu bisa menggunakan contoh surat seperti ini untuk melamar pekerjaan pertamamu dalam bahasa inggris 1.3 contoh surat lamaran kerja bahasa inggris electrical engineering dan artinya. Semua informasi tersebut akan sangat diperlukan oleh suatu perusahaan atau instansi yang dituju sebagai bahan pertimbangan untuk menerima pelamar tersebut. Karenanya bagian ini harus disertakan dalam contoh surat lamaran kerja bahasa inggris. Tanpa kita sadari, semakin sini semakin banyak perusahaan asing yang berdiri di indonesia. Berikut contoh surat lamaran pekerjaan resmi bahasa inggris 2020 yang baik dan benar dengan format formal yang bisa anda unduh untuk melamar di tanggal surat tanggal surat tentunya juga sangat penting dalam penulisan lamaran kerja karena akan mengetahui surat tersebut kapan dibuat. Surat lamaran kerja dalam bahasa inggris akan membuat kamu berbeda dengan pelamar lainnya.

Kak tolong buatin surat lamaran pekerjaan dari iklan.

Contoh surat lamaran pekerjaan dalam bahasa inggris dan artinya. Foto copy ijazah terakhir beserta. Nama lengkap, alamat lengkap, nomor telepon, juga alamat email. Karena bentuk tata bahasa antara surat lamaran berbahasa indonesia tentu berbeda dengan surat lamaran kerja dalam bahasa inggris. Tentu karena statusnya sebagai front door, maka surat lamaran. Seperti biasa, tak lengkap rasanya jika hanya membahas materi mengenai surat lamaran pekerjaan dalam bahasa inggris dan artinya tanpa mengetahui contoh suratnya. Itulah mengapa permintaan surat lamaran pekerjaan dalam bahasa inggris terus mengalami peningkatan dan sangat penting untuk dipelajari. Semua informasi tersebut akan sangat diperlukan oleh suatu perusahaan atau instansi yang dituju sebagai bahan pertimbangan untuk menerima pelamar tersebut. Contoh surat lamaran pekerjaan dalam bahasa inggris. Perhatikan kebersihan surat lamaran kerja. Berikut contoh surat lamaran kerja bahasa inggris yang dapat kamu jadikan sebagai sumber referensi dalam membuat. Saya buat simple tapi sesuai dengan aturan penulisan. Contoh surat lamaran kerja umum, bank, karyawan, alfamart, pt, sekolahan, formal, fresh graduate foto copy surat ijin mengemudi.

Template seperti ini tentu akan lebih membantu kamu dalam menulis surat lamaran kerja dalam bahasa inggris dengan baik dan benar sesuai dengan. Perhatikan kebersihan surat lamaran kerja. Foto copy ijazah terakhir beserta. Selamat datang kembali ke situs kami, kali ini mari kita lanjutkan diskus. Contoh surat lamaran pekerjaan yang umum.

Contoh Surat Lamaran Kerja Bahasa Inggris Dan Artinya
Contoh Surat Lamaran Kerja Bahasa Inggris Dan Artinya from imgv2-1-f.scribdassets.com
Secara umum format surat lamaran bahasa inggris sama dengan surat lamaran berbahasa indonesia menuliskan posisi atau jabatan pekerjaan apa yang diinginkan oleh perusahaan tersebut. Kami mengulas tentang contoh lowongan pekerjaan beserta surat lamarannya dalam bahasa inggris. Contoh surat lamaran pekerjaan dalam bahasa inggris dan artinya. Berikut contoh surat lamaran kerja bahasa inggris yang dapat kamu jadikan sebagai sumber referensi dalam membuat. Enggak usah khawatir, contoh surat lamaran kerja bahasa inggris di bawah ini bisa membantumu mendapatkan profesi yang sudah kamu impikan sejak lama! Contoh surat lamaran kerja umum, bank, karyawan, alfamart, pt, sekolahan, formal, fresh graduate foto copy surat ijin mengemudi. Untuk mendownload contoh surat lamaran kerja dalam bahasa inggris anda dapat mengeklik link berikut ini itu tadi penjelasan singkat beserta contoh surat lamaran kerja bahasa inggris dan artinya yang dapat kami jelaskan. Berikut contoh surat lamaran pekerjaan resmi bahasa inggris 2020 yang baik dan benar dengan format formal yang bisa anda unduh untuk melamar di tanggal surat tanggal surat tentunya juga sangat penting dalam penulisan lamaran kerja karena akan mengetahui surat tersebut kapan dibuat.

Dokumen seperti surat lamaran atau cover letter adalah hal yang paling pertama dilihat oleh hrd jika kamu seorang lulusan baru, kamu bisa menggunakan contoh surat seperti ini untuk melamar pekerjaan pertamamu dalam bahasa inggris

Apalagi jika kalian belum terlalu fasih. Lalu bagaimana contoh surat lamaran pekerjaan dengan bahasa inggris? Perhatikan kebersihan surat lamaran kerja. Kali ini saya akan membagikan contoh surat lamaran pekerjaan bahasa inggris sesuai dengan iklan loker dalam bahasa inggris dengan menyertakan terjemahan atau artinya dalam bahasa indonesia juga agar mudah untuk dipahami juga. Untuk mendownload contoh surat lamaran kerja dalam bahasa inggris anda dapat mengeklik link berikut ini itu tadi penjelasan singkat beserta contoh surat lamaran kerja bahasa inggris dan artinya yang dapat kami jelaskan. Contoh surat lamaran kerja bahasa inggris dan artinya, untuk fresh graduate atau berpengalaman beserta iklannya, lengkap untuk 30+ profesi. Dokumen seperti surat lamaran atau cover letter adalah hal yang paling pertama dilihat oleh hrd jika kamu seorang lulusan baru, kamu bisa menggunakan contoh surat seperti ini untuk melamar pekerjaan pertamamu dalam bahasa inggris Tanpa kita sadari, semakin sini semakin banyak perusahaan asing yang berdiri di indonesia. Foto copy ijazah terakhir beserta. Berikut beberapa contoh surat lamaran kerja berbahasa inggris beserta artinya. Besar harapan saya untuk 20. Kami mengulas tentang contoh lowongan pekerjaan beserta surat lamarannya dalam bahasa inggris. Nama lengkap, alamat lengkap, nomor telepon, juga alamat email.

Karena bentuk tata bahasa antara surat lamaran berbahasa indonesia tentu berbeda dengan surat lamaran kerja dalam bahasa inggris. Contoh surat lamaran kerja bahasa inggris dan artinya ini tentunya menjadi incaran bagi anda yang ingin melamar pekerjaan di sebuah perusahaan multinasional. Surat lamaran kerja dalam bahasa inggris akan membuat kamu berbeda dengan pelamar lainnya. Foto copy ijazah terakhir beserta. Itulah mengapa permintaan surat lamaran pekerjaan dalam bahasa inggris terus mengalami peningkatan dan sangat penting untuk dipelajari.

Contoh Surat Lamaran Pekerjaan Dalam Bahasa Inggris Dan ...
Contoh Surat Lamaran Pekerjaan Dalam Bahasa Inggris Dan ... from contoh-surat.co
Dokumen seperti surat lamaran atau cover letter adalah hal yang paling pertama dilihat oleh hrd jika kamu seorang lulusan baru, kamu bisa menggunakan contoh surat seperti ini untuk melamar pekerjaan pertamamu dalam bahasa inggris Kebetulan sekali ini admin akan membagikan contoh lamaran kerja dalam bahasa inggris. Contoh surat lamaran pekerjaan dalam bahasa inggris. Foto copy ijazah terakhir beserta. Semua informasi tersebut akan sangat diperlukan oleh suatu perusahaan atau instansi yang dituju sebagai bahan pertimbangan untuk menerima pelamar tersebut. Dalam surat lamaran pekerjaan biasanya akan terlampir izasah, daftar riwayat hidup, foto copy ktp dan keterangan pengalaman pekerjaan. Contoh surat lamaran kerja umum, bank, karyawan, alfamart, pt, sekolahan, formal, fresh graduate foto copy surat ijin mengemudi. Pada prinsipnya, membuat surat lamaran pekerjaan dalam bahasa inggris sama halnya seperti ketika kita membuat surat lamaran pekerjaan dalam bahasa #1 contoh surat lamaran kerja untuk engineer.

Contoh surat lamaran pekerjaan dalam bahasa inggris dan artinya.

Secara umum format surat lamaran bahasa inggris sama dengan surat lamaran berbahasa indonesia menuliskan posisi atau jabatan pekerjaan apa yang diinginkan oleh perusahaan tersebut. Berikut beberapa contoh surat lamaran kerja berbahasa inggris beserta artinya. Untuk itu semaur akan membagikan 11 contoh surat lamaran pekerjaan berbahasa inggris, beserta terjemahan berikut … Contoh surat lamaran pekerjaan dalam bahasa inggris. Dalam surat lamaran pekerjaan biasanya akan terlampir izasah, daftar riwayat hidup, foto copy ktp dan keterangan pengalaman pekerjaan. Template seperti ini tentu akan lebih membantu kamu dalam menulis surat lamaran kerja dalam bahasa inggris dengan baik dan benar sesuai dengan. Download contoh surat lamaran dalam bahasa inggris.doc. Foto copy ijazah terakhir beserta. Pada prinsipnya, membuat surat lamaran pekerjaan dalam bahasa inggris sama halnya seperti ketika kita membuat surat lamaran pekerjaan dalam bahasa #1 contoh surat lamaran kerja untuk engineer. Itulah mengapa permintaan surat lamaran pekerjaan dalam bahasa inggris terus mengalami peningkatan dan sangat penting untuk dipelajari. Contoh surat lamaran kerja bahasa inggris dan artinya ini tentunya menjadi incaran bagi anda yang ingin melamar pekerjaan di sebuah perusahaan multinasional. Iklan produk dalam bahasa inggris. Kebetulan sekali ini admin akan membagikan contoh lamaran kerja dalam bahasa inggris.

Advertisement